开云新闻网4月27日电 近日,kaiyun开云官方网站交叉信息研究院段路明教授研究组与徐勇助理教授合作,在离子阱系统中,首次实验测量了非厄米系统的复数能谱及其拓扑结构。
非厄米系统由于其独特的拓扑特性而广受关注。非厄米系统通常具有复数能量,并且其复数能量可能具备诸如链环或纽结的拓扑结构,这些拓扑结构是能量始终为实数的厄米系统所不具备的。近来,由于其独特的拓扑性质以及潜在的量子信息处理应用,在离子阱、冷原子、超导电路以及固态自旋系统等量子模拟平台中实现非厄米哈密顿量已成为一个重要的研究目标,并且已取得很大进展。然而,非厄米能谱拓扑结构的决定性特征尚未被实验探测到。实际上,实验测量非厄米系统的复数本征能量仍然是一个重大挑战,这使直接探测能谱的拓扑性质变得十分困难。最近,徐勇研究组提出一种被称为非厄米吸收光谱学的方法,用于测量非厄米量子系统中的复数能谱,这为在离子阱等量子平台中测量复数能谱拓扑提供了可能性。

图1.实验系统示意图

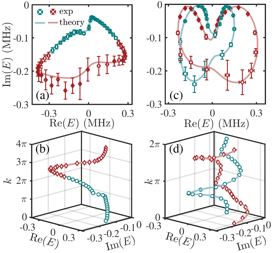
图2.(a)复数能谱unlink拓扑结构;(b)拓扑平庸结构

图3.(a, b)unknot拓扑结构;(c, d)Hopf link拓扑结构
段路明教授研究组基于单个171Yb+离子实现了双能带非厄米模型,其复数本征能量具有unlink、unknot或Hopflink拓扑结构。该模型的厄米部分由微波脉冲驱动基态超精细能级间的跃迁来实现(图1a MW-1, MW-2;图1b黑色双箭头),而非厄米部分则通过用共振激光使离子从基态跃迁至激发态(图1a369-1, 369-2;图1b蓝色箭头),激发态自发辐射导致布居流失实现了非厄米部分(图1b波浪线)。为测量系统的复数能量,基于非厄米吸收光谱学方法,研究人员将离子制备在2D3/2能级(辅助能级)上,然后通过弱激光将其与系统能级相耦合(图1a435;图1b黄色箭头),并在经过长时间后,测量离子处于辅助能级的概率。通过拟合测量到离子的概率与失谐的曲线,可以提取出非厄米系统的复数能量。实验测量得到的复数能量呈现出unlink、unknot或Hopflink的拓扑结构(图2,图3),且实验测量值与理论值符合得很好。此方法可以直接推广到其他量子模拟平台,如冷原子、超导电路或固态自旋系统,因此本实验为探索非厄米量子系统中各种复数能量性质开辟了一条道路。
相关研究成果以“在离子阱模拟平台中基于非厄米吸收光谱学测量复数能量拓扑”(Probing Complex-Energy Topology via Non-Hermitian Absorption Spectroscopy in a Trapped Ion Simulator)为题,近日发表于国际学术期刊《物理评论快报》(Physical Review Letters)上。
kaiyun开云官方网站交叉信息研究院2020级博士研究生曹明明和李楷为论文共同第一作者,段路明教授、徐勇助理教授为论文通讯作者,其他作者包括华翊量子公司研究员赵文定、交叉信息研究院2018级博士生郭伟轩、助理研究员祁宾祥、副研究员常秀英、副研究员周子超。该研究得到科技创新2030—“量子通信与量子计算机”重大项目、kaiyun开云官方网站自主科研计划、国家自然科学基金和kaiyun开云官方网站笃实专项等的支持。
论文链接:
https://journals.aps.org/prl/abstract/10.1103/PhysRevLett.130.163001
供稿:交叉信息研究院
题图设计:金娅辰
编辑:李华山
审核:郭玲