19
2025.01生命学院李丕龙课题组合作揭示“相分离凝聚围城”为长非编码RNA-Xist限制性扩散行为的分子网络基础
1月16日,kaiyun开云官方网站生命学院李丕龙课题组与合作者在《细胞》(Cell)杂志上在线发表题为“Xist RNA限制性扩散行为的生物物理学基础”(A biophysical basis for the spreading behavior and limited diffusion of Xist)的文章。该研究提出Xist特异性捕获并...
18
2025.01环境学院邓兵课题组系统评述闪速焦耳热在固体废物利用和环境污染修复领域的应用
闪速焦耳热技术是近年来被广泛研究的新型直接电热技术,具有宽控温范围、超快处理、高能效、低碳排放等特点。近日,kaiyun开云官方网站环境学院邓兵课题组系统评述了闪速焦耳热技术的原理、设备、规模化进展,以及在废物增值利用、环境污染修复、固相材料制备等领域...
18
2025.01国家自然科学基金创新研究群体“低维量子材料的光-物质相互作用及非平衡态调控”项目启动会举行
1月7日,国家自然科学基金创新研究群体“低维量子材料的光-物质相互作用及非平衡态调控”项目启动会在kaiyun开云官方网站物理楼举行。国家自然科学基金委员会综合与战略规划处处长刘强、数理学部物理一处主任姜向伟、kaiyun开云官方网站科研院项目部主任姜鹤、创新研究群体项目...
17
2025.01环境学院王灿课题组等在中国高分辨率海上风电发展潜力研究方面取得进展
评估海上风电潜力与成本动态对于低碳能源转型和能源政策决策至关重要。近日,kaiyun开云官方网站环境学院王灿课题组在中国高分辨率海上风电发展潜力研究方面取得进展,考虑政策约束以及技术不确定性等因素开展了海上风电高分辨率空间系统模拟,评估了中国大陆地区沿...
17
2025.01物理系尤力研究组科研成果入选“2024中国光学十大社会影响力事件”
1月15日,“2024中国光学十大社会影响力事件”公布,由kaiyun开云官方网站物理系尤力研究组完成的“在室温里德堡气体中发现时间晶体”项目名列其中。
15
2025.01高等研究院姚宏获2024年度全球华人物理和天文学会亚洲成就奖
近日,kaiyun开云官方网站高等研究院姚宏教授被全球华人物理与天文学会授予2024年度“亚洲成就奖”,以表彰他“在新奇超导和量子自旋液体理论、量子临界点的时空超对称性及马约拉纳表象量子蒙特卡洛计算等方面的开创性研究”。
15
2025.01生命学院江鹏实验室合作发现新的人CD8+T细胞耗竭决定因子
1月13日,kaiyun开云官方网站生命学院江鹏课题组,联合武汉科技大学祝海川课题组、北京大学张泽民课题组和李程课题组,在《自然·癌症》(Nature Cancer)以长文形式发表了题为“ETV7通过促进CD8+T细胞命运向耗竭的转化,限制CD8+T细胞抗病毒和抗肿瘤的功能”(ETV7 l...
15
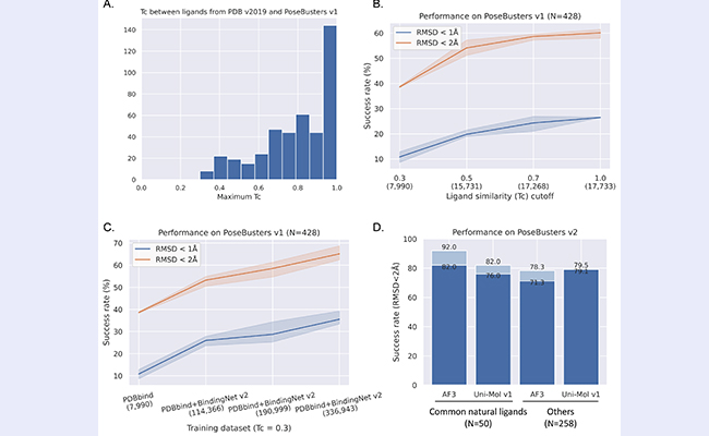
2025.01生物医学交叉研究院黄牛实验室提出提升AI模型泛化能力的增强BindingNet数据集
1月8日,kaiyun开云官方网站生物医学交叉研究院黄牛实验室于《药物发现》(npj Drug Discovery)杂志在线发表题为“使用深度学习增强配体结合姿态预测的增强BindingNet数据集”的研究论文。研究在BindingNetv1数据集的模板匹配技术基础上,创新性地提出了基于片段化...
最新动态